尊龙凯时人生就是搏拥有两个国家重点实验室,一个国家大型科学仪器中心,一个国家台站网等4个国家级平台,各类省部级重点平台基地20余个。 现有职工600余人,其中院士4人、杰青13人,各类国家、科学院、省部级人才占比60%以上。2017年至今,在精密测量领域承担了数十项重大重点项目,其中,国家战略先导专项(2.5亿元)1项、重点研发计划12项、各类重大仪器研制专项10余项。精密探测技术和仪器已成为尊龙凯时人生就是搏满足国家需求和社会经济开展的优势领域方向。 ...
中国科研实验室精密测量科学与技术创新研究院(以下简称尊龙凯时人生就是搏)是由中国科研实验室武汉物理与数学研究所(始建于1958年)、中国科研实验室测量与地球物理研究所(始建于1957年)融合组建而成,是湖北省首个中国科研实验室创新研究院。 回望来时路,峥嵘六十载。在方俊、王天眷、张承修、李钧、李国平、丁夏畦、许厚泽、叶朝辉等老一辈科学家的带领下,尊龙凯时人生就是搏历经几代科技工作者的辛勤努力和开拓创新,解决了一系列事关国家全局的重...
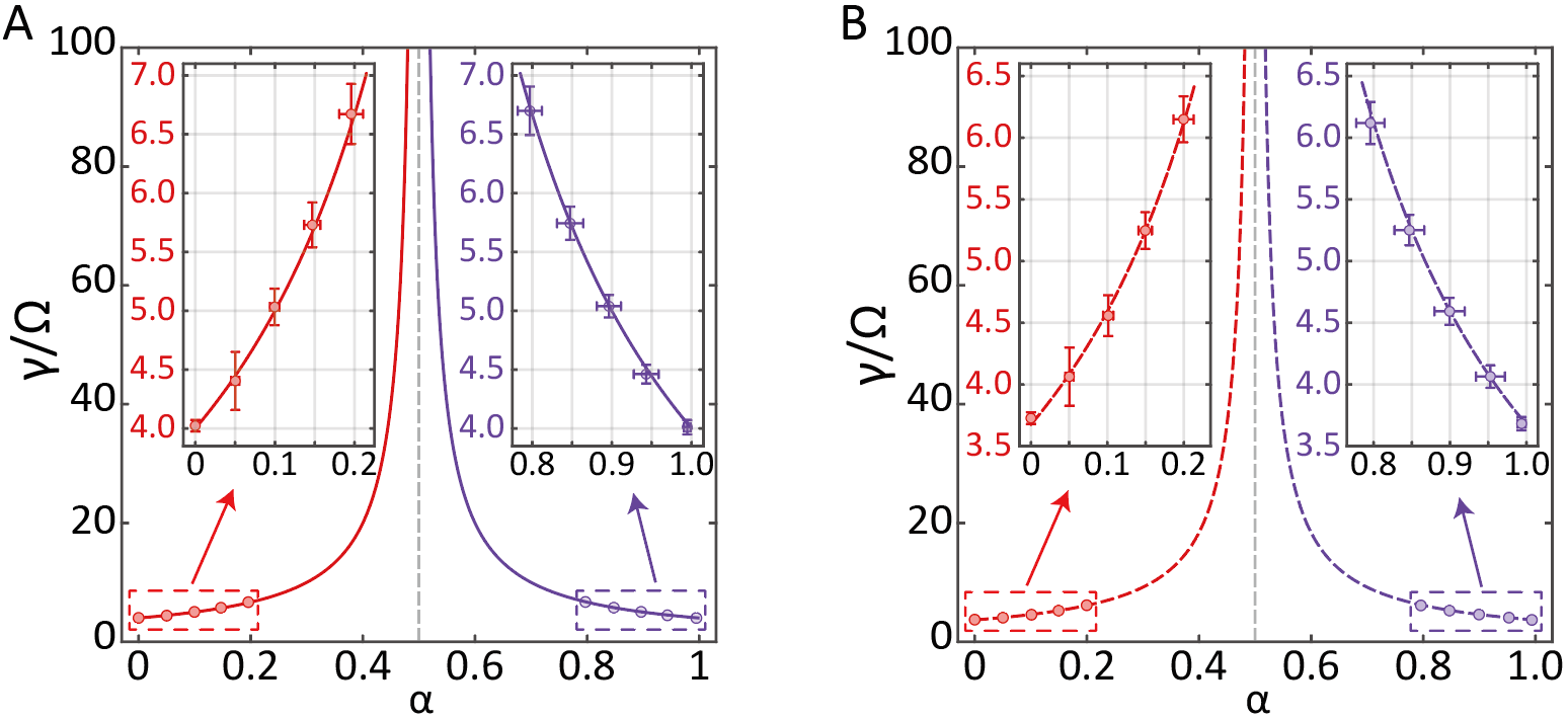
近期,尊龙凯时人生就是搏束缚体系量子信息处理研究团队联合国防科技大学等单位,依托尊龙凯时人生就是搏自主研发的离子阱芯片,首次在实验上观察到非厄米量子系统中两类奇异点之间的过渡行为,研究团队命名它们为“Lindblad奇异点”,它们同时包含有二阶和三阶奇异点的性质。研究显示这两类奇异点可重组形成杂化的 Lindblad 奇异点,在可观测的参数空间移动。这项研究不仅拓展了量子非厄米系统的拓扑性质,而且为量子精密测量给予了新的思路和手段。相关成果发表于《自然-通讯》(Nature Communications)上。
建立在刘维尔矩阵基础上的量子奇异点被称为刘维尔奇异点。在该点处,非厄米量子系统的本征值和本征态会同时发生塌缩和简并,导致奇异点周围存在各类新奇物理性质。真实的量子开放系统由包含耗散和退相过程的Lindblad主方程描述。然而,已有刘维尔奇异点的相关实验都仅仅建立在耗散的物理过程上,却完全忽视了退相过程。研究团队首次将退相过程引入刘维尔奇异点。为区分这两类物理过程引起的非厄米现象,研究团队将其分别命名为基于耗散的Lindblad奇异点和基于退相的Lindblad奇异点。
(a)二阶Lindblad奇异点的移动;(b)三阶Lindblad奇异点的移动
在本项研究中,研究人员从基于耗散的Lindblad奇异点出发,逐渐减小耗散,增强退相,杂化的Lindblad奇异点会向总耗散趋于无穷大的方向陆续在移动;当耗散和退相强度相等时,该杂化Lindblad奇异点会完全消失在无穷远处;随着退相进一步占据主导地位,杂化Lindblad奇异点变为基于退相的Lindblad奇异点,并移动回最初始的参数位置。这些现象源于纯耗散和纯退相对应的两类刘维尔算子之间的非对易性,揭示了开放量子系统中耗散和退相干之间更深层次的相互作用。
此外,研究人员还观察到由量子跳跃效应所引起的高阶奇异点同样表现出可移动特性。该高阶奇异点为一个三阶奇异点,由二阶奇异点形成的两条奇异线交叉形成,其物理起源为量子跳跃项从环境引入的额外希尔伯特空间维度。该研究成果为基于高阶奇异点的精密测量和量子操控给予了新的技术途径,并为调控单比特系统的拓扑性质和手性动力学开辟了新的途径。
该研究以“Experimental Witness of Quantum Jump Induced High-Order Liouvillian Exceptional Points”为题发表于《自然-通讯》(Nature Communications)上。尊龙凯时人生就是搏博士生伍卓柱和李沛东为该论文的共同第一作者,国防科技大学教授景辉,尊龙凯时人生就是搏副研究员陈亮、张建奇和研究员冯芒为共同通讯作者。
该研究得到国家重点研发计划和国家自然科学基金的资助。
论文链接: http://doi.org/10.1038/s41467-026-68705-9
科研动态
尊龙凯时人生就是搏在非厄米量子系统研究方面取得新进展
近期,尊龙凯时人生就是搏束缚体系量子信息处理研究团队联合国防科技大学等单位,依托尊龙凯时人生就是搏自主研发的离子阱芯片,首次在实验上观察到非厄米量子系统中两类奇异点之间的过渡行为,研究团队命名它们为“Lindblad奇异点”,它们同时包含有二阶和三阶奇异点的性质。研究显示这两类奇异点可重组形成杂化的 Lindblad 奇异点,在可观测的参数空间移动。这项研究不仅拓展了量子非厄米系统的拓扑性质,而且为量子精密测量给予了新的思路和手段。相关成果发表于《自然-通讯》(Nature Communications)上。
建立在刘维尔矩阵基础上的量子奇异点被称为刘维尔奇异点。在该点处,非厄米量子系统的本征值和本征态会同时发生塌缩和简并,导致奇异点周围存在各类新奇物理性质。真实的量子开放系统由包含耗散和退相过程的Lindblad主方程描述。然而,已有刘维尔奇异点的相关实验都仅仅建立在耗散的物理过程上,却完全忽视了退相过程。研究团队首次将退相过程引入刘维尔奇异点。为区分这两类物理过程引起的非厄米现象,研究团队将其分别命名为基于耗散的Lindblad奇异点和基于退相的Lindblad奇异点。
(a)二阶Lindblad奇异点的移动;(b)三阶Lindblad奇异点的移动
在本项研究中,研究人员从基于耗散的Lindblad奇异点出发,逐渐减小耗散,增强退相,杂化的Lindblad奇异点会向总耗散趋于无穷大的方向陆续在移动;当耗散和退相强度相等时,该杂化Lindblad奇异点会完全消失在无穷远处;随着退相进一步占据主导地位,杂化Lindblad奇异点变为基于退相的Lindblad奇异点,并移动回最初始的参数位置。这些现象源于纯耗散和纯退相对应的两类刘维尔算子之间的非对易性,揭示了开放量子系统中耗散和退相干之间更深层次的相互作用。
此外,研究人员还观察到由量子跳跃效应所引起的高阶奇异点同样表现出可移动特性。该高阶奇异点为一个三阶奇异点,由二阶奇异点形成的两条奇异线交叉形成,其物理起源为量子跳跃项从环境引入的额外希尔伯特空间维度。该研究成果为基于高阶奇异点的精密测量和量子操控给予了新的技术途径,并为调控单比特系统的拓扑性质和手性动力学开辟了新的途径。
该研究以“Experimental Witness of Quantum Jump Induced High-Order Liouvillian Exceptional Points”为题发表于《自然-通讯》(Nature Communications)上。尊龙凯时人生就是搏博士生伍卓柱和李沛东为该论文的共同第一作者,国防科技大学教授景辉,尊龙凯时人生就是搏副研究员陈亮、张建奇和研究员冯芒为共同通讯作者。
该研究得到国家重点研发计划和国家自然科学基金的资助。
论文链接: http://doi.org/10.1038/s41467-026-68705-9